Wat zijn de uitlijningstoleranties voor de in een binnen- of buitenbetonvloer gezaagde voegen?
Ruwbouw en algemene aannemingen
Terug naar : technische vragenRuwbouw en algemene aannemingen
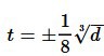
Terug naar : technische vragenIn de referentiedocumenten voor betonvloeren zijn er doorgaans geen uitlijningstoleranties voor de gezaagde voegen opgenomen. Bij gebrek aan duidelijke contractuele voorschriften dient men er de uitlijningstoleranties voor de architecturale lijnen op na te slaan. Volgens de gebruikelijke aanbevelingen wordt de maximaal toelaatbare afwijking van een voeg ten opzichte van zijn theoretische lijn gegeven door de volgende formule:

Het strekt tot aanbeveling om hulpmiddelen te gebruiken waarmee het mogelijk is om de rechtheid van de voegen te waarborgen (bv. een roterende laser, een richtkoord of een lat).
Voor meer informatie kan je de volgende pagina's consulteren:
Onderaan deze pagina vind je een overzicht van veelgestelde vragen. Ontdek ook onze vakgebiedpagina over ruwbouw en algemene aannemingen.